Scalar's 'additional metadata' features have been disabled on this install. Learn more.
Organic ChemistryMain MenuLecture 1: Introduction to Molecular OrbitalsLecture 10: Intermolecular Forces and Intro to ReactivityLecture 11: Alkenes as Nucleophiles ILectures 12 and 13: Alkenes II & IIILecture 14: Benzenes as Nucleophiles ILecture 15 objectives and skillsLecture 2: Molecular Orbitals in Organic StructuresLecture 3: Molecular Orbitals and ResonanceLecture 4: Molecular Orbitals and AromaticityLecture 5: Nomenclature and IR SpectroscopyLecture 6: Stereochemistry ILecture 7: Stereochemistry IILecture 8: Newman and Fisher ProjectionsLecture 9: Conformations and Cyclohexane RingsJulio Terra2fb22914f73f9e5a767bf7fb83987dca0e153e4a
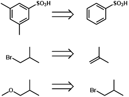
Write the forward reaction schemes for the following retrosynthesis steps. Fill in all missing substrates and reagents. SOLUTION
Find the error in the multi-step synthesis below. SOLUTION
If you made some mistakes or want to practice more, review the concepts that gave you trouble and work on this extra problem. If you're good, move to the problem below ;)
Problem 19.2: Multi-Step Synthesis
Plan multi-step syntheses to accomplish the transformations below. SOLUTION If you made some mistakes or want to practice more, review the concepts that gave you trouble and work on this extra problem. If you're good, move to the next lecture ;)